Információk az előrejelzési versenyhez
Versenyinformációk
A VERSENYSZABÁLYZATÚj előrejelzés elküldése az előrejelzési versenybe
A legutóbbi forduló eredménye
A verseny összesített állása
A 3 kieső fordulót nem tartalmazó összesített lista
A synop-kódok értelmezéséhez egy kis segítség
Szélirány-meghatározáshoz segítség
Stelvio segítségével megjelenített összesített ranglista
Stelvio segítségével megjelenített örökranglista
Stelvio segítségével megjelenített dicsőséglista
A meteorológiai állomások elhelyezkedése
A meteorológiai állomások beosztása
Elkészült az összefoglaló.
A korábbiakhoz képest ez most egy eléggé nyugis fordulónak tűnik, bár azért itt is lehetnek meglepetések, illetve kérdés, hogy szerda hajnalban lesz-e csapadék.

Stopper órás versenybírónak hol lehet jelentkezni? 
Én hagytam a 3 futásból azelsőt, abból is a szél gy.É. Mert a sok variálás pontokat visz.. tapasznyaltam párszor.
Hajrá északi gy. szél, hacsak 2-en raktuk.
Én hagytam a 3 futásból azelsőt, abból is a szél gy.É. Mert a sok variálás pontokat visz.. tapasznyaltam párszor.
Hajrá északi gy. szél, hacsak 2-en raktuk.
Nagy dilemmában vagyok, a múltkor változtattam és jól ráb..., most inkább nem változtatok, aztán lehet hogy megint ráb...
A 6 mm az utolsó csepp a forduló poharában. Sokat gondolkodtam, hogy 5,0 mm melyik oldalára dölhet majd a mérleg, rossz oldalra tettem. Legszivesebben "5 mm körül"-t adtam volna, ha lehetett volna. A gyözteseknek gratula ebben a nem egyszerü fordulóban
Gratulálok a győzteseknek! A jó ízlés határain belül nehéz nyilatkozni erről a fordulóról... 
Hoppá!
Köszi!
Na, erre nem gondoltam, hogy 14,4 pont nyerő lehet (ha így marad) Ebben az esetben Dabrony versenytársnak is jár a gratuláció!
Na, erre nem gondoltam, hogy 14,4 pont nyerő lehet (ha így marad) Ebben az esetben Dabrony versenytársnak is jár a gratuláció!
Akkor legyen a következő forduló helyszíne Miskolc-Diósgyőr! időpont, ha nem túl korai: január 14, kedd, 13 óra (12 UTC).
Az automata csapadék kereken 6 mm lett, csaknem kizártnak tartom, hogy 5 mm alatt lenne a kézi is, fényéveket meg nem fogok várni, hogy bekerüljön az adat… Ha esetleg 5 alatt lenne akkor újrapontozzuk.
Jelen állás szerint Perico és dabrony nyerte a fordulót. Grat!
Forduló: Link
Összetett: Link
Szabókát szeretnénk megkérni a következő forduló helyszínének és időpontjának a kijelölésére.
Választható helyszínek:
Bécs (Wien-Hohe Warte) [11035]
Békéscsaba [12992]
Budapest-Pestszentlőrinc [12843]
Kékestető [12851]
Lomnici-csúcs (Lomnicky Stít) [11930]
Miskolc-Diósgyőr [12772]
Nagykanizsa [12925]
Paks [12950]
Pécs-Egyetem [38528]
Siófok [metnet-es észlelő]
Zágráb-Maksimir [14240]
Meteorológiai állomások beosztása a szokásos helyen a fejlécben.
Jelen állás szerint Perico és dabrony nyerte a fordulót. Grat!
Forduló: Link
Összetett: Link
Szabókát szeretnénk megkérni a következő forduló helyszínének és időpontjának a kijelölésére.
Választható helyszínek:
Bécs (Wien-Hohe Warte) [11035]
Békéscsaba [12992]
Budapest-Pestszentlőrinc [12843]
Kékestető [12851]
Lomnici-csúcs (Lomnicky Stít) [11930]
Miskolc-Diósgyőr [12772]
Nagykanizsa [12925]
Paks [12950]
Pécs-Egyetem [38528]
Siófok [metnet-es észlelő]
Zágráb-Maksimir [14240]
Meteorológiai állomások beosztása a szokásos helyen a fejlécben.

Ez alapján kerekített 6 mm lett Mosonmagyaróvár.
Tehát az 5-10 mm tipp lenne a nyerő.
F.h.: Bp. XXII. ker.
Tmin: 0,0°C
Tmax: 4,7°C (ugye itt 13 HLT-ig vannak meg az adatok, de utána sem mehetett nagy valószínűséggel fel 6 fokig)
Takt : 0,8°C
Felh: 8 okta
Szél: gyenge ÉNY
Szign : nem volt
A 24 órás csapadékról valószínűleg holnap tudunk meg valamit, amikor is 24 órás szolgálatban lesz az állomás, mert 5-e óta semmi nincs felrögzítve. Remélhetőleg holnap pótolja…
Tmax: 4,7°C (ugye itt 13 HLT-ig vannak meg az adatok, de utána sem mehetett nagy valószínűséggel fel 6 fokig)
Takt : 0,8°C
Felh: 8 okta
Szél: gyenge ÉNY
Szign : nem volt
A 24 órás csapadékról valószínűleg holnap tudunk meg valamit, amikor is 24 órás szolgálatban lesz az állomás, mert 5-e óta semmi nincs felrögzítve. Remélhetőleg holnap pótolja…
Szerintem töröljük a fordulót, és írjuk ki újra, mindenki jobban jár.
Tmin 0 °C (?)
Tmax +5 °C (?)
Takt +1 °C
Felh 8 okta
Szél gyenge ENY
Szign nem volt
Csap ?
A kérdöjeleseket sem a synopban az ogimeten, sem a METESZ-en nem látom. Tegnap délután adatkimaradás volt, igy alig került ki valami pl. a met.hu-s térképekre is. Valaki belelát...?
Tmax +5 °C (?)
Takt +1 °C
Felh 8 okta
Szél gyenge ENY
Szign nem volt
Csap ?
A kérdöjeleseket sem a synopban az ogimeten, sem a METESZ-en nem látom. Tegnap délután adatkimaradás volt, igy alig került ki valami pl. a met.hu-s térképekre is. Valaki belelát...?
Nekem tetszik 
Az utóbbi 24 óra röviden összefoglalva az állomáson:
13 °C => 0 °C => 12 °C => 0 °C => 4 °C
A hideg, párás, nem átkeveredett levegö felszinközelben ide-oda lötykölödött és többször bekebelezte az állomást. Közben megjött a csapadék is.
Az utóbbi 24 óra röviden összefoglalva az állomáson:
13 °C => 0 °C => 12 °C => 0 °C => 4 °C
A hideg, párás, nem átkeveredett levegö felszinközelben ide-oda lötykölödött és többször bekebelezte az állomást. Közben megjött a csapadék is.
Beszarás! Ilyen hülye helyszínt kijelölve! Rosszabb mint az előző, nem kell gonosznak lenni.

202501070600 AAXX 07061 12815 25/// /3301 10008 21002 39928 40079 52022
333 60005 90710 91103 91003==
Reggel 3 után 10 fokot esett a hőmérséklet cirka 1 óra alatt 12-ről 1,6C-ra. A szél irány nem változott, DNy, de kiderült.
Talán ködmező is érkezett?
Talán ködmező is érkezett?
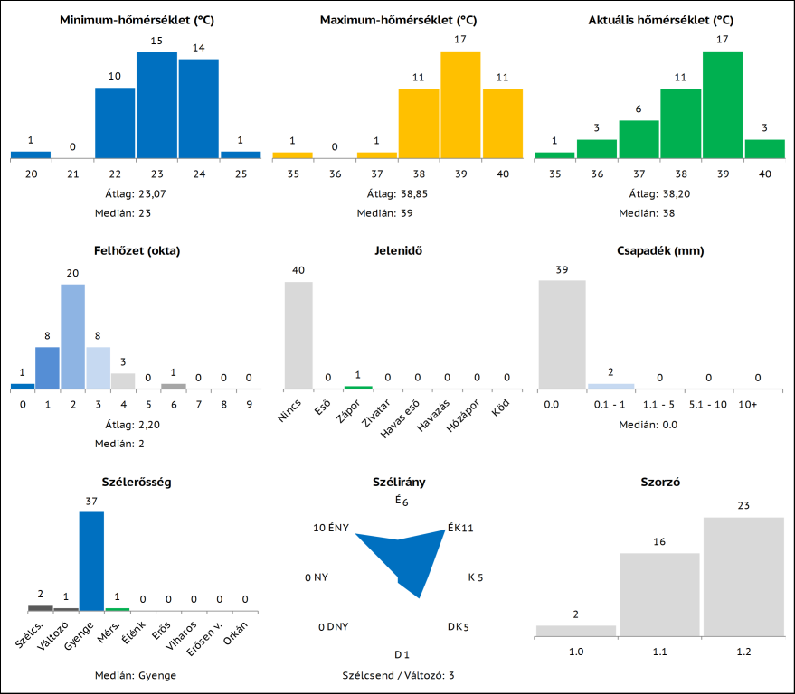
Elkészült az összefoglaló.
Ez a forduló sem lesz eseménytelen, és bár olyan nagy szórás nincs a tippek között, azért a sok kisebb eltérés is sokra mehet, márpedig az szinte mindenhol van, a hőmérsékletektől kezdve a 7-8 okta felhőzeten és a két különböző csapadékmennyiségen át a szélig.
És persze van 8 esős jelenidős tipp is. 

Alakul a fordulónk 
Volt ma már az állomáson 12,9°C is, csak aztán a délnyugati szél északira fordult és visszatódult talajközelben a hideg, átkeveretlen levegő...
Forrás: Link => 16:10
Volt ma már az állomáson 12,9°C is, csak aztán a délnyugati szél északira fordult és visszatódult talajközelben a hideg, átkeveretlen levegő...

Forrás: Link => 16:10
Utólagos gratula tőlem is mindkettőtöknek, legfőképp a Tmax 0 fokhoz. Ennyi hiányzott nekem első MetNetes állomás győzelmemhez (holtversenyben). Szólhattál volna
Brahi tipp volt a köd és szélcsend, nem kis mák is kellett hozzá. És hogy kerültem az összetett 1. helyre, az külön talány. Na majd Moson!
Köszönöm, de ég a bőr.. mert ez után a forduló után Hófúvásnak és Neked is jár a gratuláció
Szereplésemet nézve asszem kedden minden a helyére kerül
Szereplésemet nézve asszem kedden minden a helyére kerül
Most már sok minden letisztult, szinte.... 
+ Egy megkésett gratuláció Satyának az előző fordulóbeli győzelemhez.
Szerencsére nem mertem kivenni az 1,2-es ködömet 1,0-val az Alpokban vonatozva, ahol a határidőhöz közeledve hol volt net, hol nem, de inkább nem
+ Egy megkésett gratuláció Satyának az előző fordulóbeli győzelemhez.
Szerencsére nem mertem kivenni az 1,2-es ködömet 1,0-val az Alpokban vonatozva, ahol a határidőhöz közeledve hol volt net, hol nem, de inkább nem
Pihenje ki mindenki az újév fáradalmait, és ha már Szolnok nincs, akkor legyen a hozzám "közeli" Mosonmagyaróvár, január 7. napja, reggel 7 (UTC 6), ha lehet.
Kicsit megkésve, de elkészült a januári beosztás. Így jocika8627-től szeretnénk kérni egy helyszínt és egy időpontot.
Beosztás: Link
Beosztás: Link
Köszönöm, vak tyúk is felrepül a tetőre, de azt nem tudom javítani, bár...
Ne mentegetőzz, nagy győzelem volt!
Gratulálok!
Fel is álltam tisztelegni előtted a jakuzzi-tetőre.
Gratulálok!
Fel is álltam tisztelegni előtted a jakuzzi-tetőre.
Köszönöm
Ilyenkor van az, hogy a munkára tudom fogni a győzelmet, ugyanis szombaton el kellett mennem dolgozni, amikor haza értem még eszemben volt, hogy módosítok -jelenidő nincs, enyhébb nappal, felhőzet- de mire eszméltem, már este fél 9 volt.
Úgyhogy néha a rossz dolgok is jól sülnek el
Ilyenkor van az, hogy a munkára tudom fogni a győzelmet, ugyanis szombaton el kellett mennem dolgozni, amikor haza értem még eszemben volt, hogy módosítok -jelenidő nincs, enyhébb nappal, felhőzet- de mire eszméltem, már este fél 9 volt.
Úgyhogy néha a rossz dolgok is jól sülnek el
Mivel csapadék reggelig nem lesz így pontoztam.
Na, de satya, úr, na de kérem! Hát mi ez a forduló győzelem?! Gratulálok!
Forduló: Link
Összetett: Link
14,3 pontos 1,1-et dobtam 8 pontos 1,0-ért.
jocika8627 lesz a következő kiíró, így szeretnénk kérni egy helyszínt és egy időpontot. Ha beosztásos állomást szeretnél választani, akkor januári beosztás este lesz majd.
Választható helyszínek:
Bécs (Wien-Hohe Warte) [11035]
Békéscsaba [12992]
Budapest-Pestszentlőrinc [12843]
Kékestető [12851]
Lomnici-csúcs (Lomnicky Stít) [11930]
Miskolc-Diósgyőr [12772]
Mosonmagyaróvár [12815]
Nagykanizsa [12925]
Paks [12950]
Pécs-Egyetem [38528]
Siófok [metnet-es észlelő]
Zágráb-Maksimir [14240]
Na, de satya, úr, na de kérem! Hát mi ez a forduló győzelem?! Gratulálok!
Forduló: Link
Összetett: Link
14,3 pontos 1,1-et dobtam 8 pontos 1,0-ért.
jocika8627 lesz a következő kiíró, így szeretnénk kérni egy helyszínt és egy időpontot. Ha beosztásos állomást szeretnél választani, akkor januári beosztás este lesz majd.
Választható helyszínek:
Bécs (Wien-Hohe Warte) [11035]
Békéscsaba [12992]
Budapest-Pestszentlőrinc [12843]
Kékestető [12851]
Lomnici-csúcs (Lomnicky Stít) [11930]
Miskolc-Diósgyőr [12772]
Mosonmagyaróvár [12815]
Nagykanizsa [12925]
Paks [12950]
Pécs-Egyetem [38528]
Siófok [metnet-es észlelő]
Zágráb-Maksimir [14240]
Szintén zenész, de szerintem vagyunk így néhányan
Az előrejelzési verseny aktuális fordulójában leadott adatok a következők:
Tmin: -2 °C
Tmax: 2 °C
Felhőfedettség: 9 okta
Jelenidő: Ködről akkor beszélünk, ha a látástávolság 1000 m alatti.
Hőmérséklet: -2 °C
Szél: gyenge déli
Csapadék: 0.0 mm
Az időtényező értéke: 1.2
Az előrejelzési verseny aktuális fordulójában leadott adatok a következők:
Tmin: -2 °C
Tmax: 2 °C
Felhőfedettség: 9 okta
Jelenidő: Ködről akkor beszélünk, ha a látástávolság 1000 m alatti.
Hőmérséklet: -2 °C
Szél: gyenge déli
Csapadék: 0.0 mm
Az időtényező értéke: 1.2
Na, legalább a tizedek megkegyelmeztek, ha már a szél nem!
Satyának, Hófúvásnak ez komoly menet lesz!
Satyának, Hófúvásnak ez komoly menet lesz!
Ne aggódj, nem csak te b.... el, nekem is sikerült, második kieső forduló is megvan
T min: -5,7°C
T max: -0,2°C
Itt lehet nézni, ahogy bekebelezte a köd a falut: Link
Ezt az 1,1-es tippet dobtam el:
Tmin: -3 °C
Tmax: 2 °C
Felhőfedettség: 8 okta
Jelenidő: Ködről akkor beszélünk, ha a látástávolság 1000 m alatti.
Hőmérséklet: -1 °C
Szél: gyenge délkeleti
Csapadék: 0.0 mm
Az időtényező értéke: 1.1
Ezért:
Tmin: -5 °C
Tmax: 7 °C
Felhőfedettség: 1 okta
Jelenidő: nincs szignifikáns jelenség
Hőmérséklet: -1 °C
Szél: gyenge délkeleti
Csapadék: 0.0 mm
Az időtényező értéke: 1
Márpedig a köd ott lesz szerintem…
Úgyhogy gratulálok magamnak.
T max: -0,2°C
Itt lehet nézni, ahogy bekebelezte a köd a falut: Link
Ezt az 1,1-es tippet dobtam el:
Tmin: -3 °C
Tmax: 2 °C
Felhőfedettség: 8 okta
Jelenidő: Ködről akkor beszélünk, ha a látástávolság 1000 m alatti.
Hőmérséklet: -1 °C
Szél: gyenge délkeleti
Csapadék: 0.0 mm
Az időtényező értéke: 1.1
Ezért:
Tmin: -5 °C
Tmax: 7 °C
Felhőfedettség: 1 okta
Jelenidő: nincs szignifikáns jelenség
Hőmérséklet: -1 °C
Szél: gyenge délkeleti
Csapadék: 0.0 mm
Az időtényező értéke: 1
Márpedig a köd ott lesz szerintem…
Én úgy tudom, ez az állomás játszik hőmérséklet szempontjából: Link És ezen -5 az alja!
A másik (HungaroMet)-es állomásról úgy tudom, csak a széladatokat vesszük.
Szerk: Ja, most látom, hogy Imi írta, hogy minden adat a HungaroMet-es automatáról jön. Ezek szerint a hőmérséklet is. Kár érte...
"Siófoki fordulósan" gondolkodtam...
A másik (HungaroMet)-es állomásról úgy tudom, csak a széladatokat vesszük.
Szerk: Ja, most látom, hogy Imi írta, hogy minden adat a HungaroMet-es automatáról jön. Ezek szerint a hőmérséklet is. Kár érte...