Információk az előrejelzési versenyhez
Versenyinformációk
A VERSENYSZABÁLYZATÚj előrejelzés elküldése az előrejelzési versenybe
A legutóbbi forduló eredménye
A verseny összesített állása
A 3 kieső fordulót nem tartalmazó összesített lista
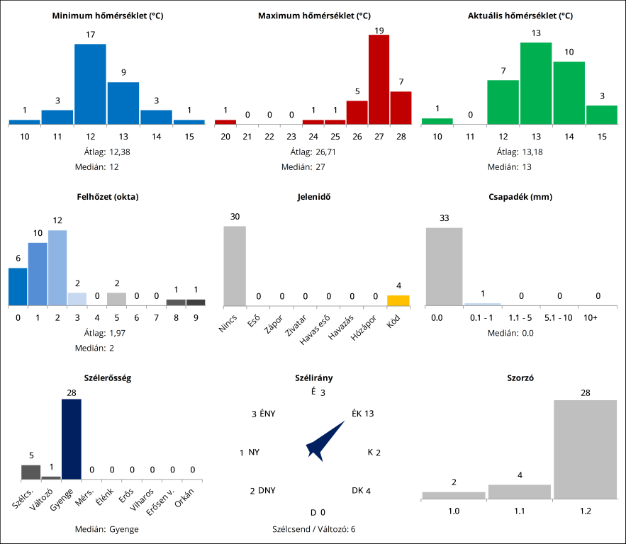
A synop-kódok értelmezéséhez egy kis segítség
Szélirány-meghatározáshoz segítség
Stelvio segítségével megjelenített összesített ranglista
Stelvio segítségével megjelenített örökranglista
Stelvio segítségével megjelenített dicsőséglista
A meteorológiai állomások elhelyezkedése
A meteorológiai állomások beosztása
Micsoda időpont az órát illetően 
De sikeresen felébredtem, már csak el ne aludjak mielőtt leadom.....
De sikeresen felébredtem, már csak el ne aludjak mielőtt leadom.....
Holnap reggel hétig egykettes, majdnem a saját fordulómról is lemaradtam, pedig elég sima lesz, lehet átlagot javítani
Kék zászlóval leintve az első tiz 10. Benne van két szegedi versenyző, de ha szerzek +14 pontot a listán, akkor elfogadom a meghívást a 10 közé.
Még hátra van pár kanyar, és ...
Még hátra van pár kanyar, és ...
Köszönjük a kiesős táblázatot! 
Jó lenne most már egy huszáros hajrá, hogy beférjek a húszba...
Mondjuk ezzel a fordulóval elégedett voltam, de még mindig nagyon lent vagyok összetettben...
Jó lenne most már egy huszáros hajrá, hogy beférjek a húszba...
Kiesős ranglista frissítve.
Papírforma forduló lett, alig esett ki valakinek.
Papírforma forduló lett, alig esett ki valakinek.
Én pedig nem kockáztattam, aztán mégse jött be,
Mondjuk az 1,2-esről azért sikerült lecsúsznom.
Mondjuk az 1,2-esről azért sikerült lecsúsznom.
A fordulót pzs és Pestimet páros nyerte, gratulálok nekik!
Forduló: Link
Összetett: Link
dabrony a következő kiíró, így szeretnénk kérni egy helyszínt és egy időpontot.
Választható helyszínek:
Békéscsaba [12992]
Budapest-Újpest [metnet-es észlelő]
Kecskemét [12970]
Siófok [metnet-es észlelő]
Beosztás: Link
Forduló: Link
Összetett: Link
dabrony a következő kiíró, így szeretnénk kérni egy helyszínt és egy időpontot.
Választható helyszínek:
Békéscsaba [12992]
Budapest-Újpest [metnet-es észlelő]
Kecskemét [12970]
Siófok [metnet-es észlelő]
Beosztás: Link
Kockáztattam, nem jött be az, ami a 10 fordulóban, így át kell adjam a helyet az üldözőknek

1.0-ás tippel valszeg mást adok le, de ez játék, így jártam
Persze még tart a verseny, lehet bármi
1.0-ás tippel valszeg mást adok le, de ez játék, így jártam
Persze még tart a verseny, lehet bármi
Falu?
Pedig már azt hittem nagy település, van aréna, kisvasút, stb
Le is veszem a bakancslistáról.
Pedig már azt hittem nagy település, van aréna, kisvasút, stb
Le is veszem a bakancslistáról.
Jól benéztem a szelet. Azt hittem élénk lesz a környék adatait nézve/Agárd 25,2 km/h, az nem élénk ?/ erre nemhogy mérsékelt, de gyenge. Azt nézem, hogy valahogyan mellényúlhattam, mert mérsékelt Ény-it adtam(volna), erre mérsékelt szélcsend lett belőle. Igazából hogyan lehet ereje a szélcsendnek ? Ilyenkor egyáltalán van pontom a szélre ? (mert ugye a gyenge mellett van a semmi szél) Ezek szerint lehet tippelni erősen viharos szélcsendet ? És ha erősen viharos lesz az két pont ? Mikortól gyenge egy szél? 0,001 m/s még szélcsend vagy már gyenge ?
Nincs és nem is volt kétségem a méréseid pontosságát illetően, sőt emlékeztem is arra, hogy kisebb szeles hely. Vacilláltam is a gyenge és mérsékelt között, rosszul döntöttem, nem csak én
.
Hat igen, elmondtam már párszor mielőtt jön a szokásos így az OMSZ meg úgy az OMSZ, hogy: Amíg az OMSZ állomás tengerszint feletti magasságban is magasabban van illetve egy nyílt beépítetlen területen, addig én belterületen mérek, ahol a falu beépítettsége miatt azért soha nincs olyan légmozgás mint kint a Szári úton. A műszer pedig egészen biztosan jó, pár napja azt a minimális tényezőt is megszűntették (kivágták a fényőfát), ami esetleg belezavarna a szélviszonyokba.
A hivatalos adatok alapján pedig 290-320 fok között tér ki a szél külterületen is, szóval ennyit az irányokról.
Nyilván ezeket nem rosszból írtam, de korábban felhívtam a mezőny figyelmét arra, hogy azért itt másabbak a terepviszonyok mint kinn, aztán többen bele is rohantak. Na, de ettől szép ez az egész.
A hivatalos adatok alapján pedig 290-320 fok között tér ki a szél külterületen is, szóval ennyit az irányokról.
Nyilván ezeket nem rosszból írtam, de korábban felhívtam a mezőny figyelmét arra, hogy azért itt másabbak a terepviszonyok mint kinn, aztán többen bele is rohantak. Na, de ettől szép ez az egész.
A szél lett meglepő, irány és erősség is. Az OMSZ széltérképet nézve a gyenge szél nem papírforma. Kéne ismerni az állomás elhelyezkedését. Az eddigi két T mindegyik egy tizeden múlt.
Összfelhőzet: 7 okta
Jelenidő: Nincs.
T min: 1,4°C
T akt: 6,6°C
Szélirány: 330 (északnyugati)
Erőssége: 3 m/s (gyenge)
Jelenidő: Nincs.
T min: 1,4°C
T akt: 6,6°C
Szélirány: 330 (északnyugati)
Erőssége: 3 m/s (gyenge)
Kár azért a 7,5 fokért 11:50-kor. Ezt leszámítva eddig elég jól alakul a forduló: Visszahűltünk 6 fokra és már megvan a mérsékelt erősségű szél is.
Elkészült az összefoglaló.
Link
Az előző két forduló után igazi pihentető ez a mosatni, meglehetősen egységes tippekkel, főleg a széliránynál ritkán látni ilyet.
Az előző két forduló után igazi pihentető ez a mosatni, meglehetősen egységes tippekkel, főleg a széliránynál ritkán látni ilyet.

Oszt kikap-e a Fehérvár vajon a Vasastól? 
Aztán merész az a hózáporos jelenidő Satya Úr.
Aztán merész az a hózáporos jelenidő Satya Úr.
Én még tegnap este leadtam, mer ma 9-12 ig vártam a klinikán a sorszámomra, pont délben szólítottak kontrolra. Majd nem meggebedtem a sok üléstől.
Esetleg ha nagy felfordulás lenne T. ügyileg, az ég allja feketedne, akkor váltok 1,1-es-re holnap délig.
Esetleg ha nagy felfordulás lenne T. ügyileg, az ég allja feketedne, akkor váltok 1,1-es-re holnap délig.
Szolid, visszafogott 1.2-est 
Ilyen szoros verseny hajrájában az ember tutira megy
Ilyen szoros verseny hajrájában az ember tutira megy
A téli derby 3/4-énél a déliek gyanúsan jó teljesítményével zárult szegedi etap nem hozott kiesőt senkinél sem. Kiesős rangsor a linken nyílik.
Papó gratula, meg a jól szereplőknek is
Úgy látom elől még sűrűbb a mezőny
Úgy látom elől még sűrűbb a mezőny
Köszönöm!
A múlt heti az én kiírásom volt, nem nyúltam bele a tippbe (csak azért se, nyakasságból....
), sikerült is az utolsó helyen végeznem. Most nem kellett belenyúlnom, ráadásul szerencsém is volt, így lett egy tök utolsó után egy első hely.
A múlt heti az én kiírásom volt, nem nyúltam bele a tippbe (csak azért se, nyakasságból....
Télembert koronázzuk meg Szegeden, gratulálok neki! 
Forduló: Link
Összetett: Link
A következő kiíró zseegee lesz, így szeretnénk kérni egy helyszínt és egy időpontot.
Választható helyszínek:
Békéscsaba [12992]
Budapest-Újpest [metnet-es észlelő]
Felcsút [metnet-es észlelő]
Kecskemét [12970]
Siófok [metnet-es észlelő]
Meteorológiai állomások beosztása: Link
Forduló: Link
Összetett: Link
A következő kiíró zseegee lesz, így szeretnénk kérni egy helyszínt és egy időpontot.
Választható helyszínek:
Békéscsaba [12992]
Budapest-Újpest [metnet-es észlelő]
Felcsút [metnet-es észlelő]
Kecskemét [12970]
Siófok [metnet-es észlelő]
Meteorológiai állomások beosztása: Link
A kézi mérés 0,2 tizeddel kevesebb, mint az automata, így 2,4 mm a napi csapadékösszeg.
Megérkezett a radarjel, csakhogy csak "kék". Vagy nem lesz belőle semmi, vagy havazik már és az már nem ad "zöldet" . Gondolom reggel van kézi mérés is, nem az automata mérés a mérvadó.
Ez itt nálunk olyan, mint a kutya vacsorája...
Monjuk az én kutyáim jóllaktak.
Monjuk az én kutyáim jóllaktak.
Tmax: 3,7°C és 3 mm esett 18UTC-ig. Na, akkor a délkeletről felkanyarodó med.ciklon csapadék produkcioja következik reggelig...
Ja, METÉSZ-t nem is néztem, köszi. Így akkor még sokkal hajszálabb volt, már 1 óra múlva gyengén esett.