Információk az előrejelzési versenyhez
Versenyinformációk
A VERSENYSZABÁLYZATÚj előrejelzés elküldése az előrejelzési versenybe
A legutóbbi forduló eredménye
A verseny összesített állása
A 3 kieső fordulót nem tartalmazó összesített lista
A synop-kódok értelmezéséhez egy kis segítség
Szélirány-meghatározáshoz segítség
Stelvio segítségével megjelenített összesített ranglista
Stelvio segítségével megjelenített örökranglista
Stelvio segítségével megjelenített dicsőséglista
A meteorológiai állomások elhelyezkedése
A meteorológiai állomások beosztása
Gratulálok én is Pestimetnek és Hófúvásnak az első és a második helyhez, valamint mindenkinek, aki végig játszotta ezt a kört.
Magam részéről összességében elégedett vagyok a 3. hellyel, főleg a nagyon gyenge első félidő után (10. forduló - 23. hely). Sőt ha jól látom az össz.pontszámban és össz.kiesőben is első helyen végeztem.
Viccet félretéve, köszönet azoknak is, akik valamivel hozzájárultak a verseny szervezéséhez, lebonyolításához, élvezhetőbbé tételéhez (táblázatok, ábrák).
Magam részéről összességében elégedett vagyok a 3. hellyel, főleg a nagyon gyenge első félidő után (10. forduló - 23. hely). Sőt ha jól látom az össz.pontszámban és össz.kiesőben is első helyen végeztem.
Gratulálok Pestimetnek, szép egyenletes teljesítményt hozott végig, nagyon erősnek bizonyult, jóllehet kis szerencsével talán befogható lett volna, ha a volna ott nem volna. Gratuláció az egész mezőnynek, akik végigcsinálták az idényt, nem volt egyszerű menet, különösen MacBook bronzához és nagy hajrájához, de külön kalaplengetésem satyának, aki nagyszerűen játszott, és tényleg játszott, akkor is, mikor befoghatatlannak tűnt. Feltétlenül övé a fair play díj ezért.
(A magaméhoz még annyit értékelésként (cél az első 10 volt, így ez bőven túlteljesítve), hogy nem lehet úgy idényt nyerni, ha nincs egyetlen forduló győzelmem sem, pedig 14 fordulóban végeztem a 10 között, de csak egyszer álltam dobogón. Kell a kiemelkedő teljesítmény, nem elég a jó egyenletes. Na majd legközelebb
)
(Perico: sorry, látom a hibát, elnézést, valamit elnéztem, egy pontszáma hiányzott.)
(A magaméhoz még annyit értékelésként (cél az első 10 volt, így ez bőven túlteljesítve), hogy nem lehet úgy idényt nyerni, ha nincs egyetlen forduló győzelmem sem, pedig 14 fordulóban végeztem a 10 között, de csak egyszer álltam dobogón. Kell a kiemelkedő teljesítmény, nem elég a jó egyenletes. Na majd legközelebb
(Perico: sorry, látom a hibát, elnézést, valamit elnéztem, egy pontszáma hiányzott.)
Gratulálok a téli versenykör győztesének és dobogósainak! 
-------------------------
Ami a saját teljesítményemet illeti, nem vagyok megelégedve vele. Még mindig gyakori nálam a figyelmetlenség miatti szorzóvesztés, a sorozat szégyenfoltja pedig a 2. forduló volt Kanizsán, ahol utolsó lettem, épp ott, ahol nyáron még fölényesen nyertem. Öröm az ürömben, hogy legalább több 10- pontos forduló nem volt, igaz 20+ is csak egy, Szombathelyen.
Bevallom, kicsit beleéltem már magam a 20. helybe és hogy másfél év után ismét én koronáztathatok majd (van egy tippem, hogy hol...
), de szerintem Hófúvás 19. fordulós kiesős listáján jocika8627 jóval hátrébb szerepelt, mint ahol valójában volt, így pedig én sem a 20. helyemet tartottam meg a záró fordulóban, hanem csak a 21.-et. Na, mindegy! Ettől függetlenül idén is nagyon köszönöm Hófúvásnak a rendszeres kiesős lista készítést!
És mind a 34 versenyzőnek, aki befejezte a sorozatot, hogy részt vettetek benne! 
Most pihenjünk rá a nyári körre, aztán hajrá!
Cél: Vissza a TOP 20-ba (...de inkább a 10-be)
-------------------------
Ami a saját teljesítményemet illeti, nem vagyok megelégedve vele. Még mindig gyakori nálam a figyelmetlenség miatti szorzóvesztés, a sorozat szégyenfoltja pedig a 2. forduló volt Kanizsán, ahol utolsó lettem, épp ott, ahol nyáron még fölényesen nyertem. Öröm az ürömben, hogy legalább több 10- pontos forduló nem volt, igaz 20+ is csak egy, Szombathelyen.
Bevallom, kicsit beleéltem már magam a 20. helybe és hogy másfél év után ismét én koronáztathatok majd (van egy tippem, hogy hol...
Most pihenjünk rá a nyári körre, aztán hajrá!
Gratulálok a győztesnek, szép teljesítmény! 
Egyúttal köszönöm mindenkinek, aki végigjátszotta velünk ezt a kört is, kevesebb lenne a MetNet enélkül a verseny nélkül
Sok idő nincs a pihenésre, néhány hét és jövünk megint
Egyúttal köszönöm mindenkinek, aki végigjátszotta velünk ezt a kört is, kevesebb lenne a MetNet enélkül a verseny nélkül
No, hát akkor a koronázó fordulót lepontoztam, amit mzs nyert. Gratulálok neki!
Forduló: Link
Összetett: Link
És akkor így néz ki a TOP20:
A sorozat első 20 helyezettje:
1. Pestimet
2. hófúvás
3. MacBook
4. Hidegcsepp95
5. met4ever
6. satya
7. szabóka
8. BKrisz
9. zseegee
10. mzs
11. adél 21
12. deco05
13. Gordonka
14. coontac
15. mikahock
16. Blizzard
17. Misimókus
18. jocika8627
19. Tullner_Job
20. dabrony
Gratulálok mindenkinek, aki kitartott a végéig (nekem nem sikerült, majd az egy hónap múlva induló nyári körben igyekszem) és elégedett a teljesítményével. Szerintem összességében elmondható, hogy egy izgalmakkal teli téli kört zártunk. Kiemelten szeretnék gratulálni Petimet-nek, akit nem sikerült senkinek sem letaszítani a trónról, ugyanis az előző nyári körben is első helyezett volt illetve most is.
Köszönöm az észleleteket az itteni kollégáknak: Télembernek és Jimr-nek.
Találkozunk május első heteiben! Addig is jó rápihenést mindenkinek a nyári körre!
Forduló: Link
Összetett: Link
És akkor így néz ki a TOP20:
A sorozat első 20 helyezettje:
1. Pestimet
2. hófúvás
3. MacBook
4. Hidegcsepp95
5. met4ever
6. satya
7. szabóka
8. BKrisz
9. zseegee
10. mzs
11. adél 21
12. deco05
13. Gordonka
14. coontac
15. mikahock
16. Blizzard
17. Misimókus
18. jocika8627
19. Tullner_Job
20. dabrony
Gratulálok mindenkinek, aki kitartott a végéig (nekem nem sikerült, majd az egy hónap múlva induló nyári körben igyekszem) és elégedett a teljesítményével. Szerintem összességében elmondható, hogy egy izgalmakkal teli téli kört zártunk. Kiemelten szeretnék gratulálni Petimet-nek, akit nem sikerült senkinek sem letaszítani a trónról, ugyanis az előző nyári körben is első helyezett volt illetve most is.
Köszönöm az észleleteket az itteni kollégáknak: Télembernek és Jimr-nek.
Találkozunk május első heteiben! Addig is jó rápihenést mindenkinek a nyári körre!
Sztem Pestimet megőrizte vezető helyét, gratulálok a jó hajrájához, végső győzelmet ért
T akt.: 8,5 °C.
Szerintem bevéshetjük a 9,6 °C-os T maxot.
Mivel csapadék eddig nem volt és vélhetően nem is lesz, ha úgy látjátok, szerintem akár pontozhatunk is.
A Sidolt elhasználtam, vajon kinek a fejére helyezhetem a csilivili virtuális koronát?
Szerintem bevéshetjük a 9,6 °C-os T maxot.
Mivel csapadék eddig nem volt és vélhetően nem is lesz, ha úgy látjátok, szerintem akár pontozhatunk is.
A Sidolt elhasználtam, vajon kinek a fejére helyezhetem a csilivili virtuális koronát?
Összfelhőzet: 2 okta
Jelenidő: Nincs
T min: 4,9°C
T akt: 7,8°C
Szélirány: 350° (északi)
Erőssége: 13 m/s (erős)
Eddig ezeket tudjuk.
Jelenidő: Nincs
T min: 4,9°C
T akt: 7,8°C
Szélirány: 350° (északi)
Erőssége: 13 m/s (erős)
Eddig ezeket tudjuk.
Takt.: 7,8 °C.
Felhőzet: 2 okta Cu.
Jelenidő: nincs.
Szélerősség és irány nem az enyém, de szerintem északi és erős (esetleg viharos a parton).
Szerk.: észlelési naplóban is rögzítve.
Felhőzet: 2 okta Cu.
Jelenidő: nincs.
Szélerősség és irány nem az enyém, de szerintem északi és erős (esetleg viharos a parton).
Szerk.: észlelési naplóban is rögzítve.
Robognak csakhogy a Balatonhoz közeledve a szél elfogyasztja őket reggelire. Webkamerán csak a horizonton látszanak. (itt már csaknem borult)
Én a helyedben nem aggódnék, itt is sok a felhő és gyorsan robognak, egyenest Siófok felé
Ja most látom, sőt Bakonyvár is négyest adott. Valamit tudtatok! Akkor sül a bukta
(A Bakony-alja erősen felhős)
Bocsi én ebben nem tudok (nem is akarok
) segíteni, hisz 4 oktát adtam
Gyors számolással látszik, hogy a felhő dönt, mégpedig ott nekem pontokat kéne szereznem ( 6 okta esetén döntetlen valószínű). A T-ket túl alacsonyra raktam.
Plusz a meglévő 2-3, lehet az még 8 is
Persze valszeg nem lesz, de azért viszek sonkát is
Persze valszeg nem lesz, de azért viszek sonkát is
A felhőgenerátort elindítottam a Bakony fölött, már csak Bakonyvár és dabrony segítségére van szükségem és eltoljuk Siófokig azt a még szükséges 5-6 oktát
Takt.: 5,0 °C.
Tmin.: 5,0 °C.
A felhőzet rohamosan csökken, jelenleg 2-3 okta körüli.
A szél nálam élénk, időnként erős, jellemzően inkább északi.
Tmin.: 5,0 °C.
A felhőzet rohamosan csökken, jelenleg 2-3 okta körüli.
A szél nálam élénk, időnként erős, jellemzően inkább északi.
Takt.: 5,3 °C.
Rh.: 71 %.
Td.: 0,5 °C.
Eddigi Tmin.: 5,3 °C.
Szerintem ennyi lesz a Tmin, nem hiszem, hogy még 0,8 °C-ot csökkenne.
Rh.: 71 %.
Td.: 0,5 °C.
Eddigi Tmin.: 5,3 °C.
Szerintem ennyi lesz a Tmin, nem hiszem, hogy még 0,8 °C-ot csökkenne.
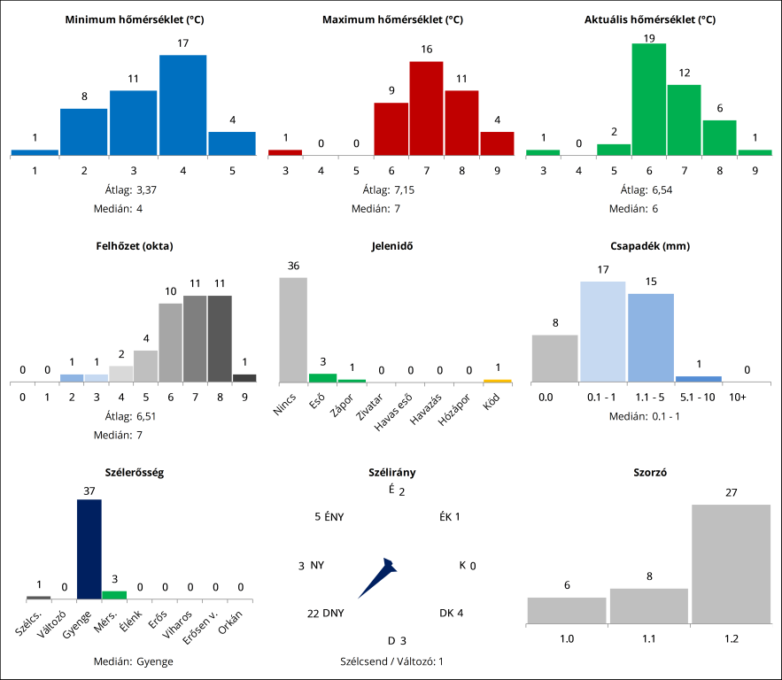
Felhőzetnél érdekes, hogy míg az átlag egészre kerekítve 5 okta, a medián 6 okta, addig a legnagyobb gyakorisággal előforduló érték (módusz) nagy előnnyel a 7 okta. Nem bánnám, ha ezúttal ez a statisztikai mutató jönne be
Elkészült az összefoglaló.
Link
Lesz izgalom a dobogós helyezésekért, ahogy nézem, főleg Pestimet és hófúvás között.
Nagyon mit hozzátenni nem tudok, met4ever nagyjából összefoglalta a lehetőségeket.
Mondjuk BKrisznek vagy nekem nem tudom mennyi esélyünk lenne megcsípni a bronzérmet, az a 3 pont lemaradás eléggé soknak tűnik így látatlanban, inkább arra tippelnék, hogyha satyának nem jön be a joker tippje, akkor MacBook vagy met4ever végezhetne a 3. helyen. 
Lesz izgalom a dobogós helyezésekért, ahogy nézem, főleg Pestimet és hófúvás között.

Gondolj arra, hogy Satya idén nem gasztroesztétikázik a helyszínen
Elsődleges támpontként: az OMSz-os állomáson 20:00-kor 9,9/4,9°C-ról indultunk, s 12 m/s-os északi átlagszéllel , ami már erős kategória. A harmatpont 40 perc alatt majd 3 fokot süllyedt, csak így tovább!

Az utolsó forduló előtt teljesen nyitott a 2022/2023-as téli kör nyertesének kiléte. Pestimet a 3-kiesős összetettben mindössze 1,2 ponttal vezet, amit Hófúvás simán behozhat. Kettőjük tippje között 5 pontnyi különbség van, amihez még hozzájöhet a szorzókülönbség (1,2 vs 1,0) Hófúvás javára, így könnyedén az első helyen találhatja magát kedd reggelre
Satya az eső jelenidős, csapadékos (1,1 - 5 mm) tippével úgy látom mindent egy lapra tett fel. Ha bejön a húzása, behozhatja a 8,6 pontos lemaradását Pestimettel szemben a 3 kiesős összetettben és megszerezheti első összetett győzelmét. Érdekes, de nem lehetetlen verzió lenne
MacBook-kal a Tmin kivételével (5 vs 3°C) ugyanazt a tippsort adtuk le mindketten 1,2-vel. Ezért a 0,2 pontos hajszálnyi lemaradásomat csakis úgy tudnám behozni, ha az én Tmin-em lenne a jobb, ami csak 3, 2 vagy 1°C esetén teljesülne. Hogy hogyan fog 3,5°C alá menni a T holnap reggelig, azt még pontosan nem látom, de bízom abban, hogy a Balatontól elég messze leszünk és hááátha..... A bronzérembe pedig, ha jól látom, még Hidegcseppnek és Bkrisznek van beleszólása. Meg persze Satyának a joker tippjével
Egyszóval izgalmas befejezés a nem túl izgalmasnak kinéző időjárás ellenére
Az én legnagyobb sajnálatomra.
Ugyanis imádom, amikor satya a gastroesztétika eszközeivel próbál engem korrumpálni.
Ugyanis imádom, amikor satya a gastroesztétika eszközeivel próbál engem korrumpálni.
Bizony satya kitelepülő fine dining partijai mindig kecsegtető lehetőségek egy kis korrupcióra. 
Ám az esély mindig, mindenki számára adott, ráadásul a Királynők Városa pedig kiemelt helyet foglal el emlékeim közt.
Ám az esély mindig, mindenki számára adott, ráadásul a Királynők Városa pedig kiemelt helyet foglal el emlékeim közt.
Bizony, mert Te tudod a legjobban, hogy Siófokon satya bármikor képes egy 30 pontos fordulóra. És akkor nekem is kell legalább 25 pontot összekotornom az ezüsthöz
Semmi gond, itt nálunk L.R.-t koronázzák már lassan 10 éve. 
Viszont a közös koronázás elmaradni látszik.
Viszont a közös koronázás elmaradni látszik.
Időpont egyeztetve! Tehát,akkor Siófok és legyen a sorsdöntő,utólsó forduló időpontja,hétfő délelőtt 10 óra.
Politikát feltétlenül be kellett írni egy meteorológiai fórumra...
Sajnálom-üdvözlöm a jégmentes Balcsit, elmarad most is a király koronázás a Duna jegén. OV.
De lesz nekünk más.
Megértelek.
Ilyen kiélezett helyzetben, ami az elején van, én is mindent pontosítanék.
Ilyen kiélezett helyzetben, ami az elején van, én is mindent pontosítanék.
Köszi! Nem árt az infó az újak kedvéért sem. Hajrá Siófok! 
Szerk.: milyen időpontban fogsz észlelni, adatot leolvasni, csak hogy egyértelmű legyen, mert akkor ugye az OMSZ állomással jó lenne időben szinkronban lenni. 50-es, órás...?
Szerk.: milyen időpontban fogsz észlelni, adatot leolvasni, csak hogy egyértelmű legyen, mert akkor ugye az OMSZ állomással jó lenne időben szinkronban lenni. 50-es, órás...?
Csináltam egy lehetséges kiesős listát, azért nézzetek rá!
Maradtak még kérdések Siófokra is.
Apropó: mi az a paraméter, amit nem Télember mér, hanem az OMSZ állomásról vesszük?
Maradtak még kérdések Siófokra is.
Apropó: mi az a paraméter, amit nem Télember mér, hanem az OMSZ állomásról vesszük?