Információk az előrejelzési versenyhez
Versenyinformációk
A VERSENYSZABÁLYZATÚj előrejelzés elküldése az előrejelzési versenybe
A legutóbbi forduló eredménye
A verseny összesített állása
A 3 kieső fordulót nem tartalmazó összesített lista
A synop-kódok értelmezéséhez egy kis segítség
Szélirány-meghatározáshoz segítség
Stelvio segítségével megjelenített összesített ranglista
Stelvio segítségével megjelenített örökranglista
Stelvio segítségével megjelenített dicsőséglista
A meteorológiai állomások elhelyezkedése
A meteorológiai állomások beosztása
Szilveszter az érdekesnek tűnik most.
Egy bécsi mutatvány 16 órára lehetséges?
Neked is békés Karácsonyt Imi!
Egy bécsi mutatvány 16 órára lehetséges?
Neked is békés Karácsonyt Imi!
Végül jól jöttem ki az eredeti 1,0-s tippem módosításával (a Tmin-re ugyanannyi pont jött, de a Takt és a Tmax egyaránt +1-et hozott), főleg, hogy abban elfelejtettem csapadékmennyiséget adni, illetve erős ÉNy-i szél szerepelt benne, de azt is jó irányba változtattam, igaz, ott nem sokon múlt az erős. Így a sok 1,2-es tipp közé azért befértem a (pontszámilag) 3. helyre.

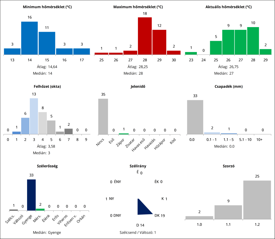
Összfelhőzet: 9 okta
Jelenidő: Havazás
T min: -15,9°C
T max: -3,9°C
T akt: -3,9°C
Szélirány: 300° (északnyugati)
Erőssége: 10 m/s (élénk)
Csapadék: > 10 mm (este 7-ig 15 millimétert mértek)
A fordulót lepontoztam, amit Hidegcsepp95 és Pestimet duó nyerte toronymagasan. Gratulálok nekik és azoknak is, akik elégedettek a teljesítményükkel.
Forduló: Link
Összetett: Link
A következő kiíró Télember lesz. Ha esetleg januárra esne a választás akkor beosztás a következő két-három napban várható, így, ha beosztásos állomást szeretnél választani, akkor arra várni kell egy kicsit. Viszont, ha egy szilveszteri fordulóban gondolkodunk, azt simán ki lehet írni még holnap.
Választható helyszínek:
Bécs (Wien-Hohe Warte) [11035]
Budapest-Újpest [metnet-es észlelő]
Csíkszereda (Miercurea Ciuc) [15170]
Eger [12870]
Felcsút [metnet-es észlelő]
Kecskemét [12970]
Kékestető [12851]
Pécs-Egyetem [38528]
Siófok [metnet-es észlelő]
Sopron-Kurucdomb [13704]
Szolnok [12860]
Szombathely [12812]
Zágráb-Maksimir [14240]
Áldott ünnepet kívánok minden kedves versenytársamnak!
Jelenidő: Havazás
T min: -15,9°C
T max: -3,9°C
T akt: -3,9°C
Szélirány: 300° (északnyugati)
Erőssége: 10 m/s (élénk)
Csapadék: > 10 mm (este 7-ig 15 millimétert mértek)
A fordulót lepontoztam, amit Hidegcsepp95 és Pestimet duó nyerte toronymagasan. Gratulálok nekik és azoknak is, akik elégedettek a teljesítményükkel.

Forduló: Link
Összetett: Link
A következő kiíró Télember lesz. Ha esetleg januárra esne a választás akkor beosztás a következő két-három napban várható, így, ha beosztásos állomást szeretnél választani, akkor arra várni kell egy kicsit. Viszont, ha egy szilveszteri fordulóban gondolkodunk, azt simán ki lehet írni még holnap.
Választható helyszínek:
Bécs (Wien-Hohe Warte) [11035]
Budapest-Újpest [metnet-es észlelő]
Csíkszereda (Miercurea Ciuc) [15170]
Eger [12870]
Felcsút [metnet-es észlelő]
Kecskemét [12970]
Kékestető [12851]
Pécs-Egyetem [38528]
Siófok [metnet-es észlelő]
Sopron-Kurucdomb [13704]
Szolnok [12860]
Szombathely [12812]
Zágráb-Maksimir [14240]
Áldott ünnepet kívánok minden kedves versenytársamnak!

Az elmúlt 3 órában viszont megtorpant a melegedés, és egyelőre még mindig -7 fok a max. Félek, hogy a jelenidőt bebukom..
Folyamatos melegadvekcioval már -7,7°C-ig emelkedett a hőmérséklet (09UTC) mérsékelt havazás kíséretében. A szél érdekes, nem stabil irányú, legutóbb déli volt, s az átlagos szélsebesség mérsékelt és erős között változik.
2 napja felhőben van a csúcs, és folyamatosan havazik, legalábbis amikor mérés van. Jelenleg -16 fok a min.
Mivel minden szorzóról lemaradtam, az aktuális adatokat látva az utolsó pillanatban felvittem -17-ről -15-re a minimumot, illetve -5-ről -4-re a maximumot és az aktuális hőmérsékletet, remélem, nem bánom meg.

Elkészült az összefoglaló.
Nagyon nem is tudok mit hozzáfűzni, csak annyit, hogy izgalmas forduló lesz. 


Hagynám én is a havat, úgyis langy felé megyünk. A Szél úrfi remélem mellettem lesz.

3 óra múlva bezár a bazár, hagyjátok már a havat, ideje módosítani a tuti 1.0-ás tippre 
Bár én már leadtam a nyerő 1.2-est, akár hózhattok is tovább nyugodtan

Bár én már leadtam a nyerő 1.2-est, akár hózhattok is tovább nyugodtan

Hát ez kegyetlen lesz, ma este hétig mindenki adja le amit sikerül kihámoznia a vasárnap várható időjárásról

Hát Szegednél lejjebb már csak Tiszasziget van, legalább is a határon belül.

Így legalább vigasztal a tudat, hogy -3/-3 °C-kal sem nyertem volna. Gratula!

Köszönjük, lehet is tippelni: Link
Imi, gratulálok, jó helyre került a szegedi trófea
A saját teljesítményt inkább elengedném, szépen megindultam a lejtőn, és ki tudja, hol a vége
Imi, gratulálok, jó helyre került a szegedi trófea


Egy szép és könnyű karácsonyi fordulót javasolok, Lomnici-csúcs dec.24. UTC 18.
A fordulót lepontoztam, amit én nyertem.
Magamnak nem gratulálok, viszont akik elégedettek voltak a teljesítményükkel nekik igen. 
Forduló: Link
Összetett: Link
Hófúvás lesz a következő kiíró, így szeretnénk kérni egy helyszínt és egy időpontot.
Választható helyszínek:
Bécs (Wien-Hohe Warte) [11035]
Budapest-Újpest [metnet-es észlelő]
Csíkszereda (Miercurea Ciuc) [15170]
Eger [12870]
Felcsút [metnet-es észlelő]
Kecskemét [12970]
Kékestető [12851]
Lomnici-csúcs (Lomnicky Stít) [11930]
Pécs-Egyetem [38528]
Siófok [metnet-es észlelő]
Sopron-Kurucdomb [13704]
Szolnok [12860]
Szombathely [12812]
Zágráb-Maksimir [14240]
Meteorológiai állomások beosztása: Link


Forduló: Link
Összetett: Link
Hófúvás lesz a következő kiíró, így szeretnénk kérni egy helyszínt és egy időpontot.
Választható helyszínek:
Bécs (Wien-Hohe Warte) [11035]
Budapest-Újpest [metnet-es észlelő]
Csíkszereda (Miercurea Ciuc) [15170]
Eger [12870]
Felcsút [metnet-es észlelő]
Kecskemét [12970]
Kékestető [12851]
Lomnici-csúcs (Lomnicky Stít) [11930]
Pécs-Egyetem [38528]
Siófok [metnet-es észlelő]
Sopron-Kurucdomb [13704]
Szolnok [12860]
Szombathely [12812]
Zágráb-Maksimir [14240]
Meteorológiai állomások beosztása: Link
7,2 °C lett a Tmax.
Kár, hogy a minimumban és az aktuális hőmérsékletben nem voltam kicsit bátrabb, bár így is jó fordulóm lesz, de egy -3/-3 kombinációval talán nyerhettem is volna.
Kár, hogy a minimumban és az aktuális hőmérsékletben nem voltam kicsit bátrabb, bár így is jó fordulóm lesz, de egy -3/-3 kombinációval talán nyerhettem is volna.

Pont ezt mondtam Kornélnak privátban, hogy kamera alapján a 3 reálisabbnak tűnt volna, de hát ez van. Én tuti jól jártam.

9 perc múlva már annyi volt... 
A műholdkép alapján talán a 3 lett volna a legreálisabb, 7 órakor még nem volt ott a felhőzet eleje a város felett, körkörösen kicsit több volt a derült rész, mint a felhős.

A műholdkép alapján talán a 3 lett volna a legreálisabb, 7 órakor még nem volt ott a felhőzet eleje a város felett, körkörösen kicsit több volt a derült rész, mint a felhős.
Öszfelhőzet: 2 okta
Jelenidő: Nincs
T min: -3,1°C
T akt: -2,8°C
Szélirány: 180° (déli)
Erőssége: 2 m/s (gyenge)
Jelenidő: Nincs
T min: -3,1°C
T akt: -2,8°C
Szélirány: 180° (déli)
Erőssége: 2 m/s (gyenge)
Viszont szerintem 2 oktánál több fátyol van az égen (legalább 4), de mindegy.
Elkészült az összefoglaló.
A felhőzetnél van minden is, illetve kérdés, hogy lesz-e köd reggelre, vagy sem.
Éjfélkor a MET-ÉSZ szerint 0 okta volt, >10km látástávolsággal, de persze reggelig még akármi történhet. A T eddig -2 fokig csökkent, kérdés, hogy fog-e menni lejjebb, illetve hogy reggelig merre fog még változni. 



Remélem a köd is összejön reggelre. Meg még a délelőtt nagy részére be is ragad. Azért ezzel a 4 fokos Tmax-ommal kicsit kilógok lefelé az átlagból, de számoltam némi beragadással is.
Imi vágta.
Ha csak egy időpont lehetséges, minek is adjak meg pontos órát.
Ha csak egy időpont lehetséges, minek is adjak meg pontos órát.

mzs: 3.6 ->11-> 12-> 14.4->18.7->?
Mi jön a kérdőjel helyére?
A helyes megfejtők között ajándékok lesznek kisorsolva.
Mi jön a kérdőjel helyére?
A helyes megfejtők között ajándékok lesznek kisorsolva.

Igen ez egy régi ismert bug, igértem már rég óta a javitást rá a srácoknak, csak még nem sikerült megoldani.

Azt hiszem van egy kis bibi az összesítésnél. Mindenkinél ugyanannyi a kieső pontok száma kint az össz gyűjtött pontok száma!